Note: This document is for an older version of GRASS GIS that has been discontinued. You should upgrade, and read the current manual page.
When multiple input maps are given to r.univar, the overall statistics are calculated. This is useful for a time series of the same variable, as well as for the case of a segmented/tiled dataset. Allowing multiple raster maps to be specified saves the user from using a temporary raster map for the result of r.series or r.patch.
This module can use large amounts of system memory when the -e extended statistics flag is used with a very large region setting. If the region is too large the module should exit gracefully with a memory allocation error. Basic statistics can be calculated using any size input region. Extended statistics can be calculated using r.stats.quantile.
Without a zones input raster, the r.quantile module will be significantly more efficient for calculating percentiles with large maps.
For calculating univariate statistics from a raster map based on vector polygon map and uploads statistics to new attribute columns, see v.rast.stats.
g.region raster=elevation -p # standard output, along with extended statistics r.univar -e elevation percentile=98 total null and non-null cells: 2025000 total null cells: 0 Of the non-null cells: ---------------------- n: 2025000 minimum: 55.5788 maximum: 156.33 range: 100.751 mean: 110.375 mean of absolute values: 110.375 standard deviation: 20.3153 variance: 412.712 variation coefficient: 18.4057 % sum: 223510266.558102 1st quartile: 94.79 median (even number of cells): 108.88 3rd quartile: 126.792 98th percentile: 147.727 # script style output, along with extended statistics r.univar -ge elevation percentile=98 n=2025000 null_cells=0 cells=2025000 min=55.5787925720215 max=156.329864501953 range=100.751071929932 mean=110.375440275606 mean_of_abs=110.375440275606 stddev=20.3153233205981 variance=412.712361620436 coeff_var=18.4056555243368 sum=223510266.558102 first_quartile=94.79 median=108.88 third_quartile=126.792 percentile_98=147.727
g.region raster=basins -p
projection: 99 (Lambert Conformal Conic) zone: 0 datum: nad83 ellipsoid: a=6378137 es=0.006694380022900787 north: 228500 south: 215000 west: 630000 east: 645000 nsres: 10 ewres: 10 rows: 1350 cols: 1500 cells: 2025000
r.category basins
2 4 6 8 10 12 14 16 18 20 22 24 26 28 30
d.mon wx0 d.rast map=elevation r.colors map=elevation color=grey d.rast map=basins r.colors map=basins color=bgyr d.legend raster=basins use=2,4,6,8,10,12,14,16,18,20,22,24,26,28,30 d.barscale

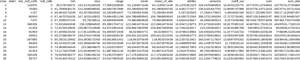
Then statistics for elevation can be calculated separately for every zone, i.e. basin found in the zones parameter:
r.univar -t map=elevation zones=basins separator=comma \
output=basin_elev_zonal.csv
zone,label,non_null_cells,null_cells,min,max,range,mean,mean_of_abs, stddev,variance,coeff_var,sum,sum_abs2,,116975,0,55.5787925720215, 133.147018432617,77.5682258605957,92.1196971445722,92.1196971445722, 15.1475301152556,229.447668592576,16.4433129773355,10775701.5734863, 10775701.57348634,,75480,0,61.7890930175781,110.348838806152, 48.5597457885742,83.7808205765268,83.7808205765268,11.6451777476995, 135.610164775515,13.8995747088232,6323776.33711624,6323776.33711624 6,,1137,0,66.9641571044922,83.2070922851562,16.2429351806641, 73.1900814395257,73.1900814395257,4.15733292896409,17.2834170822492, 5.68018623179036,83217.1225967407,83217.12259674078,,80506, 0,67.4670791625977,147.161514282227, ...

Available at: r.univar source code (history)
Latest change: Tuesday May 26 20:37:54 2020 in commit: a093a4b83739b27f1ced694ab8150756a4f0e3a7
Main index | Raster index | Topics index | Keywords index | Graphical index | Full index
© 2003-2023 GRASS Development Team, GRASS GIS 7.8.9dev Reference Manual